文章
29
标签
11
分类
0
首页
归档
标签
分类
友链
关于
我的博客
搜索
首页
归档
标签
分类
友链
关于
softmax
发表于
2024-08-03
|
更新于
2024-08-31
|
阅读量:
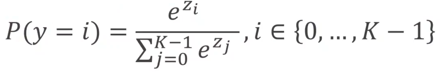
Softmax
每一个输出都做指数运算,除以指数和,指数可以扩大最大概率值所占的比重,便于分类
实现功能:
全大于0
求和为1
适用于多分类问题,计算概率分布
DeepLearning
上一篇
自监督学习
下一篇
ros2技巧
目录
Softmax
搜索
数据库加载中